找回密码
 立即注册
查看: 14415|回复: 13

2017厦门市青少年建筑模型竞赛(11-25)比赛成绩公布

[复制链接]
发表于 2017-11-25 20:48:28 | 显示全部楼层 |阅读模式
请仔细核对辅导员信息(必须与报名表一致,不得随意更改)
闽南古厝-1.jpg
闽南古厝-2.jpg
闽南古厝-3.jpg
 楼主| 发表于 2017-11-25 20:52:47 | 显示全部楼层
纸艺彩绘
纸艺-1.jpg
纸艺-2.jpg
纸艺-3.jpg
纸艺-4.jpg
纸艺-5.jpg

点评

您好,纸艺彩绘赛低年级男子组,二等奖获得者 厦门实验小学连子铭,在报名时报错项目,导致现在出奖项时指导老师一栏空着,麻烦可否添加指导老师:黄之璇。谢谢  详情 回复 发表于 2017-11-27 10:18
回复

使用道具 举报

 楼主| 发表于 2017-11-25 20:56:03 | 显示全部楼层
木结构
木结构-1.jpg
木结构-3.jpg
木结构-4.jpg
回复

使用道具 举报

 楼主| 发表于 2017-11-25 20:57:30 | 显示全部楼层
生态沙盘
生态沙盘.jpg
回复

使用道具 举报

 楼主| 发表于 2017-11-25 21:00:30 | 显示全部楼层
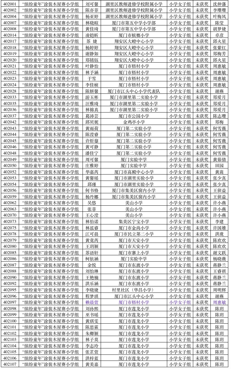
缤纷童年
缤纷童年-1.jpg
缤纷童年-2.jpg
缤纷童年-3.jpg
回复

使用道具 举报

 楼主| 发表于 2017-11-25 21:03:48 | 显示全部楼层
绿野春天
绿野春天-1.jpg
绿野春天-2.jpg
绿野春天-3.jpg
回复

使用道具 举报

 楼主| 发表于 2017-11-25 21:06:22 | 显示全部楼层
巴黎春天
巴黎春天-1.jpg
巴黎春天-2.jpg
巴黎春天-3.jpg
回复

使用道具 举报

 楼主| 发表于 2017-11-25 21:09:13 | 显示全部楼层
城市梦想
城市梦想-1.jpg
城市梦想-2.jpg
城市梦想-3.jpg
回复

使用道具 举报

发表于 2017-11-26 11:48:20 | 显示全部楼层
高殿中心小学  绿野春天  黄贞绮  一等奖    指导老师:黄嵩
回复

使用道具 举报

发表于 2017-11-27 09:28:18 | 显示全部楼层
“城市梦想”区域规划赛 马筠伦 厦门市东渡小学 小学女子组 三等奖 指导老师:蒋静兰
回复

使用道具 举报

您需要登录后才可以回帖 登录 | 立即注册

本版积分规则

Archiver| ( 闽ICP备2022009061号-1 )

GMT+8, 2026-4-23 00:34 , Processed in 0.184939 second(s), 7 queries , Gzip On, MemCached On.

Powered by Discuz! X3.5

© 2001-2013 Comsenz Inc.. 技术支持 by 巅峰设计

快速回复 返回顶部 返回列表